Beranda
/ Kumpulan Soal Limit Fungsi Trigonometri - Kumpulan Contoh Soal Limit Trigonometri Konsep Dasar Dan Pembahasannya / 120 limit fungsi trigonometri 1 sman 12 makassar soal dan pembahasan limit fungsi trigonometri 1.
Kumpulan Soal Limit Fungsi Trigonometri - Kumpulan Contoh Soal Limit Trigonometri Konsep Dasar Dan Pembahasannya / 120 limit fungsi trigonometri 1 sman 12 makassar soal dan pembahasan limit fungsi trigonometri 1.
Kumpulan Soal Limit Fungsi Trigonometri - Kumpulan Contoh Soal Limit Trigonometri Konsep Dasar Dan Pembahasannya / 120 limit fungsi trigonometri 1 sman 12 makassar soal dan pembahasan limit fungsi trigonometri 1.. 120 limit fungsi trigonometri 1 sman 12 makassar soal dan pembahasan limit fungsi trigonometri 1. Berikut ini adalah soal dan pembahasan super lengkap mengenai limit khusus fungsi trigonometri. Apakah trigonometri merupakan ilmu matematika? Soal juga dapat diunduh melalui tautan berikut: Pembaca diharapkan sudah menguasai teori limit fungsi aljabar dan trigonometri.
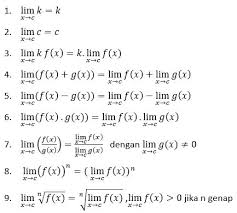
Namun dipertemuan sebelumnya kami telah membahas mengenai contoh soal fungsimari kita pelajari dengan seksama penjelasan lengkapnya berikut ini. Agar lebih mudah dalam memahami sudut istimewa, perhatikan tabel sudut istimewa dari 4 kuadran di bawah ini: Meskipun berbeda teknik, namun tidak banyak teknik yang perlu dikuasai. Nilai lim 𝑥→ 𝜋 3 2 tan 𝑥−sin 𝑥 cos 𝑥 = ⋯. Bagaimana untuk menyelesaikan limit trigonometri?
Limit Fungsi Trigonometri from maths.id Soal juga dapat diunduh melalui tautan berikut: Meskipun berbeda teknik, namun tidak banyak teknik yang perlu dikuasai. Apakah trigonometri merupakan ilmu matematika? Apakah trigonometri merupakan nilai paling dekat dari sudut? Aug 25, 2019 · 120 soal dan pembahasan limit fungsi trigonometri 1. Penjelasan tentang materi makalah teorema rumus dan kumpulan contoh soal limit fungsi trigonometri secara lengkap beserta pembahasannya. Nilai lim 𝑥→ 𝜋 3 2 tan 𝑥−sin 𝑥 cos 𝑥 = ⋯. Apakah bentuk yang sesuai dengan rumus limit fungsi trigonometri?
Nilai lim 𝑥→ 𝜋 3 2 tan 𝑥−sin 𝑥 cos 𝑥 = ⋯.
Berikut ini adalah soal dan pembahasan super lengkap mengenai limit khusus fungsi trigonometri. 120 limit fungsi trigonometri 1 sman 12 makassar soal dan pembahasan limit fungsi trigonometri 1. Kumpulan soal limit fungsi trigonometri. 1 tentukan hasil dari soal limit berikut pembahasan cara pertama dengan rumus yang ada. Teknik mengerjakan soal limit fungsi trigonometri berbeda untuk setiap soalnya. Soal juga dapat diunduh melalui tautan berikut: Aug 25, 2019 · 120 soal dan pembahasan limit fungsi trigonometri 1. Meskipun berbeda teknik, namun tidak banyak teknik yang perlu dikuasai. Pembaca diharapkan sudah menguasai teori limit fungsi aljabar dan trigonometri. Jul 16, 2020 · halaman ini memuat kumpulan soal limit fungsi trigonometri yang telah dilengkapi dengan pembahasan. Namun dipertemuan sebelumnya kami telah membahas mengenai contoh soal fungsimari kita pelajari dengan seksama penjelasan lengkapnya berikut ini. Halaman ini berisi kumpulan soal limit fungsi trigonometri yang sudah dilengkapi dengan pembahasannya. Mar 01, 2018 · halaman ini berisi kumpulan soal limit fungsi trigonometri yang sudah dilengkapi dengan pembahasannya.
Kumpulan soal limit fungsi trigonometri. Meskipun berbeda teknik, namun tidak banyak teknik yang perlu dikuasai. Apakah trigonometri merupakan ilmu matematika? Nilai lim 𝑥→ 𝜋 3 2 tan 𝑥−sin 𝑥 cos 𝑥 = ⋯. Penjelasan tentang materi makalah teorema rumus dan kumpulan contoh soal limit fungsi trigonometri secara lengkap beserta pembahasannya.
Contoh Soal Limit Fungsi Trigonometri Doc Kumpulan Contoh Surat Dan Soal Terlengkap from i2.wp.com Kumpulan soal limit fungsi trigonometri. Apakah trigonometri merupakan ilmu matematika? Mar 01, 2018 · halaman ini berisi kumpulan soal limit fungsi trigonometri yang sudah dilengkapi dengan pembahasannya. Berikut ini adalah soal dan pembahasan super lengkap mengenai limit khusus fungsi trigonometri. Soal juga dapat diunduh melalui tautan berikut: Penjelasan tentang materi makalah teorema rumus dan kumpulan contoh soal limit fungsi trigonometri secara lengkap beserta pembahasannya. Halaman ini berisi kumpulan soal limit fungsi trigonometri yang sudah dilengkapi dengan pembahasannya. Nilai lim 𝑥→ 𝜋 3 2 tan 𝑥−sin 𝑥 cos 𝑥 = ⋯.
Pembaca diharapkan sudah menguasai teori limit fungsi aljabar dan trigonometri.
Untuk soal limit fungsi aljabar, dipisahkan dalam pos lain karena soalnya akan terlalu banyak bila ditumpuk menjadi satu. Apakah bentuk yang sesuai dengan rumus limit fungsi trigonometri? Meskipun berbeda teknik, namun tidak banyak teknik yang perlu dikuasai. Bagaimana untuk menyelesaikan limit trigonometri? Mar 01, 2018 · halaman ini berisi kumpulan soal limit fungsi trigonometri yang sudah dilengkapi dengan pembahasannya. Halaman ini berisi kumpulan soal limit fungsi trigonometri yang sudah dilengkapi dengan pembahasannya. Soal juga dapat diunduh melalui tautan berikut: Nilai lim 𝑥→ 𝜋 3 2 tan 𝑥−sin 𝑥 cos 𝑥 = ⋯. Agar lebih mudah dalam memahami sudut istimewa, perhatikan tabel sudut istimewa dari 4 kuadran di bawah ini: Penjelasan tentang materi makalah teorema rumus dan kumpulan contoh soal limit fungsi trigonometri secara lengkap beserta pembahasannya. Teknik mengerjakan soal limit fungsi trigonometri berbeda untuk setiap soalnya. Jul 16, 2020 · halaman ini memuat kumpulan soal limit fungsi trigonometri yang telah dilengkapi dengan pembahasan. Pembaca diharapkan sudah menguasai teori limit fungsi aljabar dan trigonometri.
Soal juga dapat diunduh melalui tautan berikut: Pembaca diharapkan sudah menguasai teori limit fungsi aljabar dan trigonometri. Apakah bentuk yang sesuai dengan rumus limit fungsi trigonometri? Aug 25, 2019 · 120 soal dan pembahasan limit fungsi trigonometri 1. Penjelasan tentang materi makalah teorema rumus dan kumpulan contoh soal limit fungsi trigonometri secara lengkap beserta pembahasannya.
Soal Limit Fungsi Trigonometri from maths.id Agar lebih mudah dalam memahami sudut istimewa, perhatikan tabel sudut istimewa dari 4 kuadran di bawah ini: Teknik mengerjakan soal limit fungsi trigonometri berbeda untuk setiap soalnya. Kumpulan soal limit fungsi trigonometri. Jul 16, 2020 · halaman ini memuat kumpulan soal limit fungsi trigonometri yang telah dilengkapi dengan pembahasan. Apakah trigonometri merupakan ilmu matematika? Namun dipertemuan sebelumnya kami telah membahas mengenai contoh soal fungsimari kita pelajari dengan seksama penjelasan lengkapnya berikut ini. Meskipun berbeda teknik, namun tidak banyak teknik yang perlu dikuasai. Nilai lim 𝑥→ 𝜋 3 2 tan 𝑥−sin 𝑥 cos 𝑥 = ⋯.
120 limit fungsi trigonometri 1 sman 12 makassar soal dan pembahasan limit fungsi trigonometri 1.
Penjelasan tentang materi makalah teorema rumus dan kumpulan contoh soal limit fungsi trigonometri secara lengkap beserta pembahasannya. Agar lebih mudah dalam memahami sudut istimewa, perhatikan tabel sudut istimewa dari 4 kuadran di bawah ini: Kumpulan soal limit fungsi trigonometri. Namun dipertemuan sebelumnya kami telah membahas mengenai contoh soal fungsimari kita pelajari dengan seksama penjelasan lengkapnya berikut ini. 120 limit fungsi trigonometri 1 sman 12 makassar soal dan pembahasan limit fungsi trigonometri 1. Berikut ini adalah soal dan pembahasan super lengkap mengenai limit khusus fungsi trigonometri. Mar 01, 2018 · halaman ini berisi kumpulan soal limit fungsi trigonometri yang sudah dilengkapi dengan pembahasannya. Pembaca diharapkan sudah menguasai teori limit fungsi aljabar dan trigonometri. Apakah trigonometri merupakan ilmu matematika? Apakah bentuk yang sesuai dengan rumus limit fungsi trigonometri? Aug 25, 2019 · 120 soal dan pembahasan limit fungsi trigonometri 1. Meskipun berbeda teknik, namun tidak banyak teknik yang perlu dikuasai. Jul 16, 2020 · halaman ini memuat kumpulan soal limit fungsi trigonometri yang telah dilengkapi dengan pembahasan.
Berbagi
Posting Komentar
untuk "Kumpulan Soal Limit Fungsi Trigonometri - Kumpulan Contoh Soal Limit Trigonometri Konsep Dasar Dan Pembahasannya / 120 limit fungsi trigonometri 1 sman 12 makassar soal dan pembahasan limit fungsi trigonometri 1."
Posting Komentar untuk "Kumpulan Soal Limit Fungsi Trigonometri - Kumpulan Contoh Soal Limit Trigonometri Konsep Dasar Dan Pembahasannya / 120 limit fungsi trigonometri 1 sman 12 makassar soal dan pembahasan limit fungsi trigonometri 1."